Synthesis of poly(arylene ether) with pendant sulfoalkoxy groups

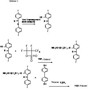
Poly(arylene ether ) based hydrocarbon membranes are being developed as cost effective replacement for the existing state of the art nafion membrane. The poly(arylene ether) polymers are reacted with concentrated sulfuric acid to substitute sulfonic acid group in the benzene ring of the polymer back-bone. Since the sulfonic acid groups are directly attached to the polymer back-bone, there is not sufficient phase separation between hydrophobic and hydrophilic regions. Due to the proximity of hydrophobic and hydrophilic regions, highly sulfonated polymers swell in the presence of water which weakens the polymer back-bone. Polymers with pendent acid groups on side chain are highly desirable to address this problem. The unique polymer chemical structure will result in micro phase separation between extreme opposing hydrophobic and hydrophilic domains. This may result into high proton conductivities and low dimensional changes that could contribute to improved stability. Moreover, the main polymer chain will be maintained in a hydrophobic environment which will improve dimensional stability of the polymer. With the above advantages in mind, we have devised the following synthetic scheme to develop an improved fuel cell membrane material (Fig.1).

Figure 1.- Synthetic scheme for the poly(arylene ether) polymer