Nafion-112 + SiO2 composite membranes for freeze-tolerant operation of PEM fuel cell

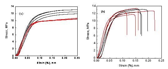
Polymer Electrolyte Membrane (PEM) fuel cells typically operate between 60-80°C. However, vehicles operating in cold climates may be exposed to ambient temperatures as low as -30°C. Automotive PEM fuel cells in such situations need to start up and operate at sub-zero temperatures. Below 0°C, water inside the fuel cell will freeze and form ice. Ice formation impedes mass transfer inside the cell and reduces protonic conductivity of the membrane and induces stress inside the cell. All these result into damage to fuel cell components and reduced performance. Composite membranes of Nafion-112 + SiO2 are being developed in this project with the aim of increasing the bound water and reduce the damage due to ice formation inside the fuel cell. The Nafion-112 + SiO2 composite membranes were characterized using proton conductivity measurement, FT-IR, DSC and mechanical testing. Nafion-112 as well as the Nafion-112 + SiO2 composite membranes were subjected to 50 freeze-thaw cycles in the temperature range -300C to 800C. Tensile stress-strain test of the as such membranes as well as that of the membranes subjected to the freeze thaw cycles were carried out. The results show that the yield strength of the Nafion-112 membranes have substantially reduced after the 50 freeze-thaw cycles; where as, Nafion-112 + SiO2 composite membranes maintained their yield strength even after the 50 freeze-thaw cycles. Fuel cell performance testing of these membranes is in progress.

Figure 1. Tensile stress test: (a) nafion-112 membrane, (b) Nafion-112 + SiO2 composite